ads/auto.txt

Definition Of Unilateral Gain

Unilateral Transducer Power Gain

Unilateral Transducer Power Gain

Seated Twisting Cable Row Exercise Instructions And Video Cable Workout Upper Body Workout Good Back Workouts

Seated Twisting Cable Row Exercise Instructions And Video Cable Workout Upper Body Workout Good Back Workouts

A Unilateral To Bilateral Training Progression For Team Sports

A Unilateral To Bilateral Training Progression For Team Sports

Weighted One Leg Hip Thrust A Unilateral Isolation Exercise Target Muscle Gluteus Maximus Gym Workout Tips Workout For Flat Stomach Weight Training Workouts

Weighted One Leg Hip Thrust A Unilateral Isolation Exercise Target Muscle Gluteus Maximus Gym Workout Tips Workout For Flat Stomach Weight Training Workouts

The 5 Best Upper Body One Arm Exercises To Fix Muscular Imbalance And Get Stronger Gymguider Com Exercisesforupp In 2020 Upper Body Arm Workout Upper Back Exercises

The 5 Best Upper Body One Arm Exercises To Fix Muscular Imbalance And Get Stronger Gymguider Com Exercisesforupp In 2020 Upper Body Arm Workout Upper Back Exercises

Lahsal Classification System For Cleft Lip Palate Note Capital Complete Small Incomplete Medical Mnemonics Soft Palate Cleft Lip

Lahsal Classification System For Cleft Lip Palate Note Capital Complete Small Incomplete Medical Mnemonics Soft Palate Cleft Lip

Lahsal Classification System For Cleft Lip Palate Note Capital Complete Small Incomplete Medical Mnemonics Soft Palate Cleft Lip

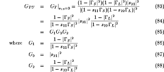
Unilateral assumption g tu 1 γ s 2 1 s11γ s 2 s21 2 1 γ l 2 1 s22γ l 2 g s s21 2 g l the gain partitions into three terms which can be interpreted as the gain from the source matching network the gain of the two port and the gain of the load.

Definition of unilateral gain. Ulg is defined as unilateral gain somewhat frequently. A tutorial review of a classic paper by samuel j. Ulg stands for unilateral gain. Unsubscribe from principles of rf microwave filters amplifiers.

Unilateral gain listed as ulg. That paper contained the first definition of a unilateral power gain for a linear two port and the first proof that this grain is invariant with respect to linear lossless reciprocal four port embeddings thereby making it useful as a figure of merit intrinsic to the device. The unilateral transducer power gain is is a parameter of transistors usually given in the manufacturer s data sheet. 1 2 power waves and s parameter definitions 5 1 3 complex and average and power 7 1 3 1 useful complex relationships 7 1 4 bi directional power along a transmission line 10 1 5 unilateral and bilateral properties of the network 11 2 power gain definitions 13 2 1 operating power gain 13 2 2 available power gain 16.

Looking for abbreviations of ulg. Gain definitions of microwave amplifiers principles of rf microwave filters amplifiers. It is unilateral gain. In reality the source load matching network are passive and hopefully lossless so.

Power gain in feedback amplifiers a classic revisited abstract. Unilateral exercises also offer the benefit of increased core training because the core typically has to work extra hard to maintain form and balance while strengthening your ability to produce intra abdominal pressure the pressure necessary to protect your spine during your major lifts like the squat and deadlift. Are related to the degree of matching between the transistor and the terminations. Rodwell copyrighted 2009.

Mason 1954 is described. How is unilateral gain abbreviated.

Unilateral Heightened Toe Extensor Tone What Do Deep Thoughts How To Become

Unilateral Heightened Toe Extensor Tone What Do Deep Thoughts How To Become

First Off Lets Start Off With A Lot Of These Exercises Are Going To Overlap Since There S A Few Exercise That Basi Back Exercises Gym Tips Upper Back Exercises

First Off Lets Start Off With A Lot Of These Exercises Are Going To Overlap Since There S A Few Exercise That Basi Back Exercises Gym Tips Upper Back Exercises

The One Arm Row Is A The One Arm Row Is A Great Unilateral Pulling Movement To Develop The Back And Biceps It Is Inc Big Biceps Workout One Arm Row

The One Arm Row Is A The One Arm Row Is A Great Unilateral Pulling Movement To Develop The Back And Biceps It Is Inc Big Biceps Workout One Arm Row

The Best Bulging Bigger Biceps Workout To Grow Your Arms With Images Big Biceps Workout One Arm Row Big Biceps

The Best Bulging Bigger Biceps Workout To Grow Your Arms With Images Big Biceps Workout One Arm Row Big Biceps

Fmax And Ft

Fmax And Ft

Pin On Pregnancy From Minnesota Momma

Pin On Pregnancy From Minnesota Momma

Parkinson S Disease Stages Occupational Therapy Occupational Therapy Schools Parkinsons Disease

Parkinson S Disease Stages Occupational Therapy Occupational Therapy Schools Parkinsons Disease

Twisting Cable Overhead Press Exercise Instructions And Video Cable Workout Best Shoulder Workout Shoulder Workout

Twisting Cable Overhead Press Exercise Instructions And Video Cable Workout Best Shoulder Workout Shoulder Workout

Not That Were Betting Men But Its Safe To Say That Youre Likely To Be Neglecting Your Back A Lit Workout Routine For Men Back Workout Men Chest And Arm Workout

Not That Were Betting Men But Its Safe To Say That Youre Likely To Be Neglecting Your Back A Lit Workout Routine For Men Back Workout Men Chest And Arm Workout

Pin On Pregnant

Pin On Pregnant

Pin On Sanjoy Dey

Pin On Sanjoy Dey

Pin En Did You Know

Pin En Did You Know

Loss Of Pulsatility Especially If It Is Unilateral Suggests Central Venous Obstruction Most Often At The Brachiocephalic Vein Bilateral Loss Of Pulsatile Sig

Loss Of Pulsatility Especially If It Is Unilateral Suggests Central Venous Obstruction Most Often At The Brachiocephalic Vein Bilateral Loss Of Pulsatile Sig

Ekt 441 Microwave Communications Ppt Video Online Download

Ekt 441 Microwave Communications Ppt Video Online Download

Source : pinterest.com